
Block of mass and block of mass are resting on a horizontal surface as shown in the figure. There is no friction between the block and the horizontal surface. The coefficient of friction between the blocks is . If the value of , the maximum horizontal force that can be applied on the block without any relative motion between and is




Important Questions on Friction
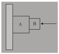
Consider the situation shown in the figure. The wall is smooth but the surface of and in contact are rough. The friction on due to in equilibrium





The system shown in the figure is in equilibrium. The maximum value of , so that the maximum value of static frictional force on a body is , will be

A block of mass is kept on a rough incline plane. If the angle of repose is , then what should be the value of , so that the block does not move over the inclined plane?

The coefficient of static friction, between the block of mass and the table as shown in the figure is . What would be the maximum mass value of the block , so that the two blocks do not move? The string and the pulley are assumed to be smooth and massless
